2012년02월26일 11번
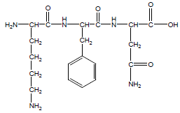
[자연과학개론] 그림은 어떤 펩타이드의 구조를 나타낸 것이다.

이 펩타이드에 대한 설명으로 옳은 것만을 보기에서 있는 대로 고른 것은?

이 펩타이드에 대한 설명으로 옳은 것만을 보기에서 있는 대로 고른 것은?

- ① ㄱ
- ② ㄱ, ㄴ, ㄷ
- ③ ㄱ, ㄷ
- ④ ㄴ
- ㄴ, ㄷ
(정답률: 알수없음)
문제 해설
- 알파-헬릭스 구조는 폴라리티가 있는 아미노산 측기가 모두 외부로 향하고, 중앙에는 수소결합이 일어나는 구조이다. (ㄷ)